大货车转弯侧翻的影响因素分析
*
†
THE CONDITIONS AND INFLUENCING FACTORS OF TRUCKS' ROLL-OVER DURING TURNING
*
†
通讯作者: 1) E-mail:qxm@tsinghua.edu.cn
收稿日期: 2019-02-25 网络出版日期: 2019-08-27
Received: 2019-02-25 Online: 2019-08-27
作者简介 About authors
因重心高、载重大,大货车在弯道行驶时,如果速度过高,很容易发生侧翻。针对货车转弯侧翻这一物理现象,本文利用动静法建立了其动力学模型。引入了描述侧翻的两个物理量——倾斜临界速度和侧翻临界速度,在给定参数下对车的受力和运动进行了数值计算,并分析了车重、车的质心高度和转弯半径等因素对转弯侧翻的影响。并对如何避免大货车转弯侧翻,给出了定性的驾驶指导建议。
关键词:
When driving on a bend, due to the high gravity center and the heavy load, large trucks or lorries are easy to roll-over if their speed is high. This paper proposes a simplified theoretical model of the roll-over process of a truck during its turning, based on the dynamics analysis. Two critical velocities are defined to evaluate the state of the truck: the tilting critical velocity and the roll-over critical velocity. For a truck of given parameters, the main factors that affect the roll-over process are analyzed, including the weight of the truck, the height of the gravity center, and the turning radius of the road. Finally, some qualitative driving suggestions are given about how to avoid roll-over of large trucks.
Keywords:
本文引用格式
杨雨杰, 邱信明.
YANG Yujie, QIU Xinming.
但上述文献对车辆侧翻的过程分析着力不多,大多只讨论了内侧车轮离地时对应的速度阈值。事实上,车辆侧翻是一个动态过程,内侧车轮离地并不一定导致车辆的侧翻。如果驾驶员在内侧车轮离地后及时制动,车辆仍有可能安全过弯。本文侧重研究车辆侧翻的全过程,在前人研究的基础上对车辆侧翻做进一步的分析,并讨论了不同因素对内侧车轮离地和车辆侧翻的影响。
1 理论模型概述
1.1 动静法
在惯性系中,受力物体处于平衡状态的充要条件是,其受到的力系可等效为一个零力系,即外力系的主矢量和主矩均为零。众所周知,一个本身具有加速度或者角加速度的物体,并非处于平衡状态。但如果建立与一个物体本身固连的参考系,在此非惯性系下观察,物体处于虚拟的"平衡"状态。受力分析时,除真实的受力${F}$外,还需要加上非惯性系导致的惯性力——牵连惯性力${S}_{\rm e} =- m{a}_{\rm e}$和科氏惯性力${S}_{\rm c} = -m {a}_{\rm c}$,其中${a}_{\rm e}$为牵连加速度,${a}_{\rm c}$为科氏加速度。此时物体的受力可以等效成零力系,即将一个动力学问题简化为静力平衡问题求解[6]:$F + {S}_{\rm e} + S_{\rm c}= 0$,这就是“动静法”。需要指出的是,这里研究对象是质点,如果是刚体,公式会更复杂一些。
1.2 模型建立与受力分析
货车转弯时,地面对车轮的摩擦力指向弯道的曲率中心,用于提供车转弯时的向心力。为保持车的力矩平衡,外侧车轮受到的支持力会大于内侧车轮,当车速过大时,将造成内侧车轮脱离地面,甚至车辆的侧翻[1]。
对车及其运动做如下理想化假设:(1) 不考虑车的悬架结构;(2) 不考虑轮胎的形变;(3) 不计车轮的宽度;(4) 认为车的质量在车前进方向均匀分布;(5) 转弯时同侧前、后轮受力情况相同,可以等效为一个轮。
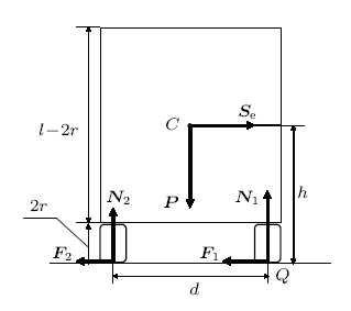
车转弯时的运动为定轴转动,转动轴过弯道的曲率中心。取与车固连的非惯性系,由动静法,假想车受到一个牵连惯性力$S_{\rm{e}}$。画出车转弯时的受力图,如图1所示。
图1中$C$为车的质心,$C$点离地高度为$h$;设轮子半径为$r$,车高为$l$,两轮间距为$d$,$Q$为转弯时外侧车轮与地面的接触点。车重为$P$,外侧车轮受到地面的支持力为$N_{1}$,静摩擦力为$F_{1}$,内侧车轮受到地面的支持力为$N_{2}$,静摩擦力为$F_{2}$。
图1
1.3 倾斜临界速度
转弯时为保持车身力矩平衡,$N_{1}$将大于$N_{2}$,且两者之差随车速的增大而增大。当车速达到某个值时,$N_{2}$减小为零,内侧车轮开始离地,我们将这一速度称为倾斜临界速度$v_{\rm{t}}$,这里的"速度"仅指速度矢量的大小,是等同于速率的标量。下面推导$v_{\rm{t}}$的表达式。
由图1中车对$Q$点力矩平衡条件,可得
令车速为$v$,转弯半径为$R$,则牵连惯性力$S_{\rm{e}} = \dfrac{Pv^{2}}{gR}$。当内侧车轮刚脱离地面时,$N_{2}=0$,代入式(1)解得倾斜临界速度
若倾斜时外侧车轮不滑动,地面摩擦力$F_{1}$需满足$F_{1}\leq f N_{1}$。由车在水平和竖直方向受力平衡,得
联立解得
1.4 侧翻过程分析
内侧车轮离地后,车将开始倾斜。出于本能,此时驾驶员将会采取制动措施,降低车速。这里首先分析车在制动过程中牵连惯性力的变化。
车前进时的动能$T = \dfrac{P}{2g}v^{2}$,设制动力矩为$M$,车轮转过的角度为$\varphi$,由动能定理
由纯滚动条件$\mathrm{d}\varphi =\dfrac{v}{r}\mathrm{d}t$,代入整理得
由式(7)可知$\dot{v}$与时间$t$无关,因此车做匀减速度运动,设车入弯的速度为$v_{0}$,则$v = v_{0}-\dfrac{Mg}{Pr}t$,牵连惯性力
侧翻过程中,车受力情况如图2所示。
图2
取与车的质心固连、绕弯道中心做定轴转动的非惯性系,车在此非惯性系中绕过$Q$点且与车前进方向平行的轴做定轴转动。
由对$Q$的动量矩定理,得
式中$J_{Q}$为车对$Q$的转动惯量,其计算方法如下。
将车视为重$P$的长方体,由图1可以计算得,车对通过$C$点且沿前进方向的轴的转动惯量$J_{C}=\dfrac{P}{12g}\left( d^{2}+l^{2}\right)$,由平行轴定理,对$Q$点的转动惯量$J_{Q} = J_{C} + \dfrac{P}{g}\Big[\Big(\dfrac{d}{2} \Big)^{2}+h^{2} \Big]$,整理得
若车的质心在地面的投影在$Q$点右侧,则车侧翻,即
得侧翻临界角
当$\theta > \theta _{\rm{r}}$时侧翻。若车的角速度小于等于零,且未侧翻,则安全过弯,即$\theta \leq \theta_{\rm{r}}$且$\dot{\theta }\leq 0 $。
2 数值计算
2.1 倾斜临界速度
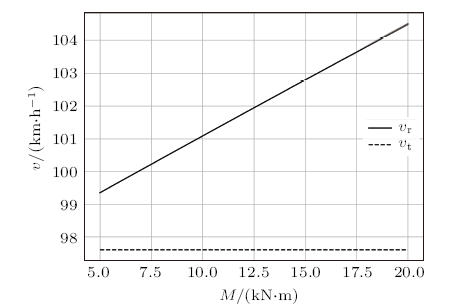
由式(2)和上述参数,可以得到倾斜临界速度$v_{\rm{t}}$与转弯半径$R$的关系曲线,如图3所示。由图可知,$v_{\rm{t}}$随$R$的减小而减小,转弯半径越小,车越容易倾斜。当转弯半径为150m左右时,倾斜临界速度已经与高速公路上的车速相近。
图3
取$R=150$m,改变车的质心高度$h$,得到$v_{\rm{t}}$与$h$的关系曲线,如图4所示。由图可知,$v_{\rm{t}}$随$h$的增大而减小,质心高度越大,车越容易倾斜。
图4
由式(5)可得摩擦系数
$$ f\geq 0.5 $$
由式(12)可得侧翻临界角
$$ \theta_{\rm{r}}\approx 26.6^{\circ} $$
2.2 侧翻临界速度
若车进入弯道的速度$v_{0} \leq v_{\rm{t}}$,则车不会倾斜,因而不会侧翻;若$v_{0} > v_{\rm{t}}$,且司机不制动,则车持续向外倾斜,牵连惯性力的力矩不断增大,重力的力矩不断减小,车将加速侧翻。若车开始倾斜时驾驶员马上制动,则在$v_{0}$不太大的情况下,车有可能倾斜一定角度后摆回$\theta =0$的位置,安全过弯。我们将驾驶员制动的情况下,能使车安全过弯的$v_{0}$的最大值称为侧翻临界速度$v_{\rm{r}}$。
对于给定的初速$v_{0}$,由2.4中的分析可以计算出$\theta$随时间$t$的变化情况。编写程序计算,程序的基本思路如下:
(1) $t=0$时,设定$\theta_{0}=0$,$\dot{\theta}_{0}=0$;
(2) 在$t$时刻,由$\theta_{t}$,$S_{\rm{e}}(t)$和给定参数计算$\ddot{\theta}_{t}$;
(3) 在$t+dt$时刻,更新$\theta $和$\dot{\theta }$:$\theta_{t+dt}=\theta_{t}+\dot{\theta }_{t}dt$,$\dot{\theta}_{t+dt}=\dot{\theta}_{t}+\ddot{\theta}_{t}dt$,$t=t+dt$;
(4) 重复(2)和(3),直到车安全过弯或侧翻。
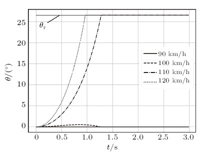
取$R=150$m,对于不同的初速$v_{0}$,计算得到$\theta$随时间$t$的变化关系,如图5所示。
图5
由图5可知,对于不同的$v_{0}$,$\theta$的变化出现了较大的分化,当$v_{\rm{t}}\leq v_{0}\leq 100$km/h时,$\theta$先增大后减小,最终减小至零,表明车倾斜一定角度后能够回到安全状态;当$v_{0}\geq 110$km/h时,$\theta $单调递增直至$\theta _{\rm{r}}$,且$v_{0}$越大,$\theta$的增速越快,表明车不能回到安全状态,会发生侧翻。
由此可知,上述计算中的侧翻临界速度$v_{\rm{r}}$在(110km/h, 120km/h)之间,用多次迭代,两侧逼近的方法可以得到$v_{\rm{r}}$更精确的值。下面分析各个参数对$v_{\rm{r}}$的影响,并与$v_{\rm{t}}$进行比较。
改变转弯半径$R$,固定其他参数,得到$v_{\rm{r}}$和$v_{\rm{t}}$随$R$的变化关系,如图6所示。
图6
由图可知,随着$R$的增大,$v_{\rm{r}}$单调递增,变化与$v_{\rm{t}}$相似,值略大于$v_{\rm{t}}$,且两者之差基本保持不变。这说明对于曲率半径越小的弯道,车越容易倾斜,同时也越容易侧翻,且倾斜后发生侧翻的概率与转弯半径无关。
改变车的质心高度$h$,固定其他参数,得到$v_{\rm{r}}$和$v_{\rm{t}}$随$h$的变化关系,如图7所示。
图7
由图可知,随着$P$的增大,$v_{\rm{r}}$单调递减,变化与$v_{\rm{t}}$相似,值略大于$v_{\rm{t}}$。这说明对于载重一定的货车,合理安放货物的位置,使质心的高度尽可能低,可以增大侧翻临界速度,提高车转弯时的安全性。
改变车重$P$,固定其他参数,得到$v_{\rm{r}}$和$v_{\rm{t}}$随$P$的变化关系,如图8所示。
图8
由图8可知,随着$P$的增大,$v_{\rm{t}}$保持不变,$v_{\rm{r}}$类似于反比例递减,两者之差越来越小。这说明车是否会倾斜与车重无关,但减小车重能降低侧翻的可能性。车重越小,倾斜后能将车"挽救"回安全状态,避免侧翻的可能性就越大;车重越大,两个临界速度就越接近,从倾斜到侧翻的差距也越小,因此重型车的倾斜往往意味着侧翻。可见,避免超载对于保证货车的安全性非常重要。
改变制动力矩$M$,固定其他参数,得到$v_{\rm{r}}$和$v_{\rm{t}}$随$M$的变化关系,如图9所示。
图9
由图可知,$v_{\rm{t}}$与$M$无关,$v_{\rm{r}}$随$M$的增加线性增加,但变化幅度不大,这是因为从倾斜到侧翻的过程只有短短几秒,制动带来的减速效果并不明显。考虑到制动力矩的大小受到摩擦片及传动机构的限制,其对车辆防侧翻的保护很有限。因此,在入弯前降低车速比入弯后制动,对防止侧翻来说更有效。
3 结论
本文利用动静法的思想,分析了货车转弯时的物理现象。货车转弯时,在与车固连的非惯性系中受到牵连惯性力的作用。当入弯车速小于倾斜临界速度($v_{0}$ < $v_{\rm{t}}$) 时,内侧车轮始终与地面接触,车不会侧翻;当入弯车速大于倾斜临界速度($v_{0}$ > $v_{\rm{t}})$时,内侧车轮会离地,车以一定角加速度开始倾斜,此时必须减速才可能避免侧翻。若开始倾斜时的车速小于侧翻临界速度($v_{0}\leq v_{\rm{r}})$,则车倾斜一定角度后能回到安全状态;反之若$v_{0} > v_{\rm{r}}$,则车必会侧翻。经分析,$v_{\rm{t}}$和$v_{\rm{r}}$均随车的质心高度的增大而减小,随转弯半径的增大而增大,$v_{\rm{t}}$与车重、制动力矩无关,$v_{\rm{r}}$ 随车重的增大而迅速减小,随制动力矩的增大而略有增大。
因此,基于本简化模型的分析结果,为避免货车转弯时侧翻,建议司机:(1)装货物时应尽可能降低车的质心高度;(2)不能超载;(3)不能超速,且低速入弯比进入弯道后再减速更安全。
参考文献
基于动态TTR的重型货车主动防侧翻控制研究. [硕士论文]
Research on active anti-rollover control of heavy-duty truck based on dynamic TTR. [Master Thesis]
Research on parameter identification and multi-target braking force distribution for heavy duty vehicle. [Master Thesis]
重型载货汽车底盘性能设计参数控制研究. [博士论文]
A study on design parameters control of performance of heavy duty truck chassis. [PhD Thesis]
基于ADAMS的汽车侧翻仿真分析与研究
Analysis and research of vehicle rollover simulation based on ADAMS
/
| 〈 |
|
〉 |
