大货车转弯侧翻的影响因素分析
杨雨杰, 邱信明

THE CONDITIONS AND INFLUENCING FACTORS OF TRUCKS' ROLL-OVER DURING TURNING
YANG Yujie, QIU Xinming
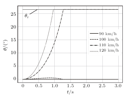
图5 转角$\theta $随时间$t$的变化曲线