大货车转弯侧翻的影响因素分析
杨雨杰, 邱信明

THE CONDITIONS AND INFLUENCING FACTORS OF TRUCKS' ROLL-OVER DURING TURNING
YANG Yujie, QIU Xinming
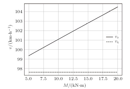
图9 $v_{\rm{r}}$和$v_{\rm{t}}$随$M$的变化关系